DEFINICIÓN DE CONCEPTOS PREVIOS
La termodinámica
La Termodinámica es la parte de la ciencia que estudia las transformaciones del calor en energía mecánica y viceversa.
Calor
Experimentalmente, se puede observar que cuando se ponen en contacto dos cuerpos que están a igual temperatura, permanecen a esta temperatura, por lo que se
deduce que no hay transferencia de calor entre ellos. Sin embargo, si dos cuerpos que están a distintas temperaturas se ponen en contacto, transcurrido un determinado tiempo el cuerpo de menor temperatura aumentará su temperatura, mientras que el cuerpo de mayor temperatura disminuirá la suya, alcanzándose el equilibrio térmico cuando ambas temperaturas se igualen. Es decir, entre estos dos cuerpos ha existido una transferencia de calor desde el cuerpo de mayor temperatura (cuerpo caliente) hacia el cuerpo de menor temperatura (cuerpo frío).
Este hecho permite establecer que el calor (al igual que el trabajo) es una forma de energía en tránsito, que acontece cuando dos cuerpos a distinta temperatura se ponen en contacto y que, de forma espontánea, se transfiere energía desde el cuerpo caliente (de mayor temperatura) hacia el cuerpo frío (de menor temperatura). Observa que esta transferencia energética sólo depende de las temperaturas de los cuerpos, siendo independiente de la masa que tengan.
Energía interna y temperatura
Energía interna es la suma de las energías cinéticas y de interacción de los constituyentes microscópicos de un sistema.
La energía interna de un sistema depende sólo del estado físico del material: constitución, presión, volumen y temperatura, independientemente de la forma o camino que se ha seguido para alcanzar este estado; es decir, la energía interna es función de estado.
La temperatura de un cuerpo es la propiedad que permite establecer si está caliente o frío. Estos términos son relativos: un cuerpo está caliente o frío respecto a la situación térmica de otro, que se utiliza de referencia.
Para medir la temperatura se utilizan los termómetros y la unidad empleada es el grado. Existen varias escalas termométricas:
- Escala absoluta de temperatura o escala Kelvin: se representa por T y se mide en grados kelvin, K. Su origen es el cero absoluto (la temperatura más baja posible), que correspondería con la temperatura a la cual la materia carecería completamente de energía, los átomos estarían en total reposo. Obedece, por tanto, a la definición física de temperatura. Como valores característicos, cabe destacar la temperatura de fusión del hielo, 273,15K, y la temperatura de ebullición del agua, 373,15K.
- Escala Celsius: es la escala más ampliamente utilizada, normalmente conocida como escala centígrada. Se mide en grados Celsius, ºC. Su relación con la escala Kelvin es: tºC =T- 273,15, Por tanto, su origen corresponde a -273,15*C, la temperatura de fusión del hielo es 0ºC y la temperatura de ebullición del agua 100ºC.
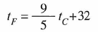
Escala Fahrenheit: es la escala utilizada en los países de habla inglesa. Se mide en grados Fahrenheit, ºF. Su relación con la escala Celsius es:
![]()
Su origen corresponde a -459,67 ºF. La temperatura de fusión del hielo es 32 ºF y la temperatura de ebullición del agua 212 ºF.

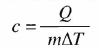
Calor específico
Cuando un cuerpo absorbe energía, generalmente aumenta su temperatura. Esta energía puede entregarse en forma de calor y se puede establecer una relación entre la energía térmica recibida y la variación de temperatura. Esta relación viene determinada por una propiedad del material denominada calor específico:
![]()

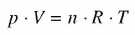
En termodinámica el sistema que recibe el calor y realiza transformaciones termodinámicas suele ser un gas, por lo que particularizando para los gases, además de calor específico, interesa conocer otras propiedades relacionadas:
- Calor específico a presión constante (cp): cantidad de calor necesaria para que un mol de un gas eleve su temperatura en 1 grado, manteniéndose constante la presión.
![]()
Donde utilizamos “n” indicando número de moles, al tratarse de un gas.
- Calor específico a volumen constante (cv): cantidad de calor necesaria para que un mol de un gas eleve su temperatura en 1 grado, manteniéndose constante el volumen. Por tanto, cuando un gas reciba calor manteniendo constante su volumen, la variación de temperatura se calculará a partir de la expresión:
![]()
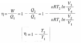
Para los gases ideales, la relación entre el calor específico a presión constante y el calor específico a volumen constante para un mismo gas, es una constante denominada coeficiente adiabático (y):

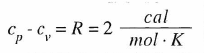
Además, la diferencia del calor específico a presión constante menos el calor específico a volumen constante resulta ser la constante universal de los gases ideales, R:

expresión que se conoce como ecuación de Mayer.
La siguiente tabla muestra los valores típicos del calor específico a presión constante y a volumen constante para los gases ideales monoatómicos y biatómicos:

















