Magnitudes y unidades. Principios físicos
Antes de introducirnos en el estudio de la neumática, necesitamos recordar una serie de magnitudes básicas:
- Presión (P)
- Caudal (Q)
- Fuerza (F)
- Potencia (P)
- Energía (E)
- Rendimiento (ŋ )
Presión
Se define como la fuerza que se ejerce por unidad de superficie.
𝑃= 𝐹/𝑆 donde P= Presión en Pascales (Pa=N/m2)
F = Fuerza en Newtons (N)
S = Superficie o sección en m2
Se define un pascal como la presión ejercida por la fuerza de un newton cuando se aplica perpendicularmente a una superficie de un m2. Existen otras unidades de presión que se muestran a continuación, así como sus equivalencias:
|
1 bar =105 Pa 1 atmósfera (atm) = 1,013 bar = 101.300 Pa 1 kg / cm2 = 9.8 * 104 Pa = 0.97 atm 1 atm técnica = 1 bar |
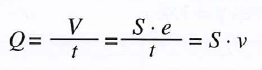
Caudal
Es el volumen de fluido que fluye a través de una sección de un conductor en la unidad de tiempo.

Donde:
Q = caudal en m3/s
V = volumen en m3
t = tiempo en segundos (s)
S = sección en m2
L = longitud en m
v = velocidad en m/s
Presión atmosférica (Patm):
fuerza ejercida por la columna de aire existente sobre una determinada superficie.
También estamos acostumbrados a trabajar con presiones absolutas (Pa ), que son las resultantes de dividir la fuerza ejercida por un fluido sobre una determinada superficie. Sin embargo, cuando hablamos de sistemas neumáticos, debemos tener en cuenta que todos los elementos del sistema están sometidos a dos presiones; por un lado, a la presión atmosférica y, por otro lado, a la presión absoluta aplicada al elemento neumático. En este caso, la presión resultante será la diferencia entre la presión absoluta aplicada y la atmosférica presente. A esta presión resultante se denomina presión relativa (Prel).
Prel = Pa - Patm

IMPORTATNTE: La presión atmosférica se mide con un barómetro, mientras que la relativa se mide con un aparato denominado manómetro, de ahí que también se la denomine presión manométrica.
Densidad ( ρ )
Suponiendo el fluido homogéneo, la densidad

La compresión que sufren los aceites hidráulicos la podemos considerar despreciable. Por lo tanto, la densidad del fluido no varía significativamente con la presión.
Presión de vapor
Es la presión que ejercen las moléculas de un líquido al vaporizarse sobre la superficie del líquido. Esta presión depende de la temperatura. Si la presión de vapor se iguala a la del ambiente, el fluido hierve.
Cavitación
Fenómeno que produce que en un fluido se forme una bolsa de vapor (de ese fluido) que vuelve a condensarse. Este fenómeno erosiona las partes metálicas que tiene a su alrededor, al someterlas a grandes gradientes de presión.
Viscosidad
Es debida al roce entre las moléculas de un fluido. Por lo tanto, representa una medida de la resistencia del fluido a su movimiento. En todos los líquidos, la viscosidad disminuye con el aumento de la temperatura. La viscosidad es una propiedad de los fluidos que define la resistencia que ofrecen las moléculas al deslizarse unas sobre otras. A causa de la viscosidad, es necesaria una fuerza para que una capa de líquido se deslice sobre otra. El alquitrán es un ejemplo de fluido muy viscoso y el agua de fluido poco viscoso.
Es importante aclarar que viscosidad y densidad no son lo mismo; un ejemplo lo tenemos en el agua y el aceite: como ya sabemos, el agua es más densa que el aceite (por eso, al verter aceite sobre un vaso con agua éste flota sobre el agua); sin embargo, el aceite es mucho más viscoso que el agua.
Viscosidad dinámica
La viscosidad, tal y como la hemos definido hasta el momento, se denomina viscosidad absoluta o dinámica (μ) y disminuye con la temperatura. Sus unidades dependen del sistema de medida utilizado.

Viscosidad cinemática
La viscosidad cinemática (ν) se define como el cociente entre la viscosidad dinámica (μ) y la densidad (p) del fluido.

Como submúltiplo se utiliza el centistoke (сSt), que equivale aproximadamente a la viscosidad del agua a 20ºC.
La viscosidad cinemática influye en otros parámetros como en el número de Reynolds, que estudiaremos más adelante, y en el estudio del régimen turbulento y laminar.
Número SAE (Índice de viscosidad)
Debido a que la viscosidad depende de la temperatura, siempre que se hable de viscosidad deberemos referirla a una temperatura concreta. Para simplificar las medidas de viscosidad, en 1950 la Sociedad de Ingenieros del Automóvil, SAE (Society of Automotive Engineers), introdujo una escala de viscosidades que asigna un número o índice a distintos intervalos de viscosidad en los aceites. Por ejemplo, un aceite SAE 20 tiene un índice de viscosidad que está comprendido entre los 9,6 y 12,9 cSt.


Número Reynolds
Antes de definir el número de Reynolds, definiremos lo que es el flujo laminar y el flujo turbulento.
- Flujo laminar. Se dice que un fluido fluye laminarmente, cuando cada capa del fluido se desliza con independencia de las demás, pasando cada partícula de dicha capa por el sitio exacto por donde pasó la anterior, siguiendo idénticas trayectorias que se denominan líneas de flujo.
- Flujo turbulento. Es el que se produce cuando se interponen obstáculos que varían las líneas de flujo o trayectoria del fluido. Si el fluido fluye a través de una tubería con cambios de sección, también se pueden producir turbulencias por los cambios de presión que se suceden en estos puntos. En general, las turbulencias están producidas por las fuerzas dinámicas o de inercia que acompañan a las moléculas del fluido.
La viscosidad de un fluido es un factor fundamental en la eliminación de turbulencias. Así, un líquido poco viscoso como el agua es más susceptible de producir turbulencias que uno más viscoso como el aceite. Esto es así porque las fuerzas de rozamiento producidas por la viscosidad dinámica E, del líquido contrarrestan a las fuerzas de inercia, de las moléculas del fluido. A la relación entre ambas fuerzas se la denomina número de Reynolds Re, que es adimensional.

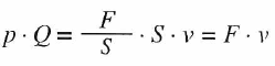
Potencia de un fluido
Como en todo sistema que realice un trabajo mecánico, es muy importante conocer la potencia con que lo desarrolla, Si multiplicamos la presión en un fluido por el caudal del mismo, obtenemos:
![]()
Se mide en vatios (w)
En el caso de los sistemas neumáticos, la potencia, que denominaremos potencia neumática, se transmite a través del fluido desde la entrada hasta la salida del circuito. Si el circuito neumático fuese ideal (sin pérdidas), el caudal y presión en la salida serían idénticos a los de la entrada y, por tanto, la presión sería una constante en todo el circuito. Sin embargo, en la práctica no es así y, a la salida del circuito, tendremos una disminución de la potencia con respecto a la entrada.
Potencia de una bomba
La potencia necesaria de la bomba es función de:

Leyes de los gases perfectos
El comportamiento de muchos gases, tales como el aire, oxígeno o helio, se aproximan en determinadas condiciones a un gas perfecto. Por tanto, pueden ser estudiados por las leyes y ecuaciones que rigen a los gases perfectos.
Ecuación de estado de los gases perfectos:

Ley de Boyle - Mariotte
Si consideramos un gas perfecto encerrado en un cilindro en el que provocamos una expansión isotérmica, es decir, a temperatura constante, se cumple.
![]()
Ley de Charles - Gay Lussac
Si consideramos un gas perfecto encerrado en un cilindro en el que provocamos una expansión isobárica, es decir, a presión constante, se cumple

Ley de continuidad
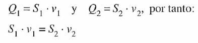
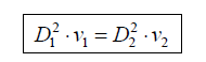
La ley de continuidad dice que en una tubería que se estrecha o ensancha, y por la cual circula un flujo permanente de un fluido, el caudal que atraviesa dos secciones cualesquiera de dicha tubería será siempre el mismo. Esto es lógico, ya que no hay posibilidad de pérdida de caudal por las paredes de la tubería y, por tanto, todo el volumen de agua que atraviesa un punto de la tubería atravesará cualquier otro punto de la misma.

Según la ley de continuidad, en las dos secciones de la tubería representada en la figura, los caudales son iguales:

La conclusión que obtenemos de esta ley es que, según disminuye la sección en una tubería, aumenta la velocidad del fluido y viceversa.
Cuando las secciones de las conducciones son circulares:
![]()
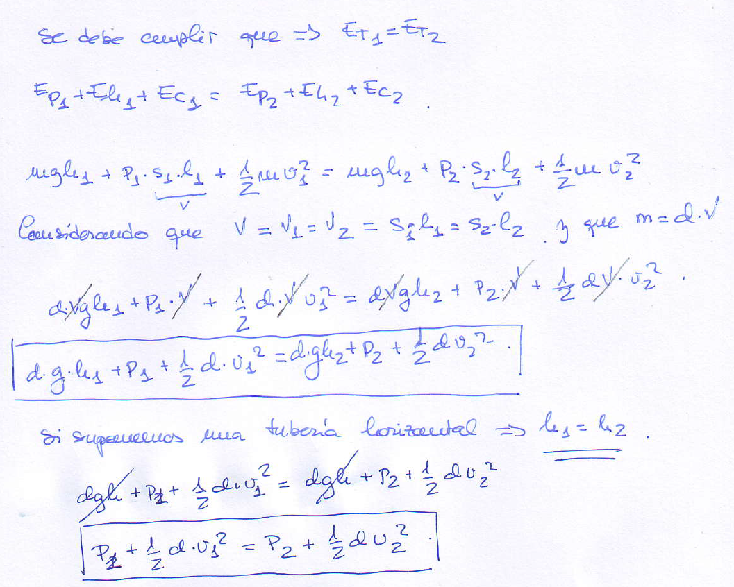
Teorema de Bernoulli
Si un líquido fluye de forma constante (estacionario) y en régimen laminar (sin turbulencias), a través de una tubería de diámetro variable sin pérdidas por rozamiento o viscosidad y, por tanto, sin pérdidas de energía, podemos asegurar que: La energía total en cualquier punto de la tubería es la misma. Por tanto, cuando se produce un estrechamiento en una tubería, la presión disminuye, pero la velocidad aumenta.
Para demostrar este teorema, se construye una tubería horizontal con dos tubos verticales dispuestos como se indica en la figura:




Principio de Pascal
La presión aplicada a un fluido confinado se transmite íntegramente en todas las direcciones y ejerce fuerzas iguales sobre áreas iguales, actuando estas fuerzas normalmente a las paredes del recipiente.

En cuanto a los desplazamientos de los émbolos, como el volumen de líquido que sale del cilindro 1 es igual al que entra en el cilindro 2















