Cuando una fuerza “F” actúa sobre un cuerpo y lo desplaza una distancia “d” en una dirección, que forma un ángulo con respecto a se dice que realiza un trabajo.

W = F· d
La unidad de medida del trabajo es el Julio (J). 1J = 1N x 1m.
Ejemplo 1:
En un resorte la fuerza que se desarrolla es proporcional al alargamiento experimentado por el resorte. Calcula el trabajo realizado.
F=k·x
Siendo la constante “k” característica de cada resorte.

El trabajo será el área de la superficie limitada por la curva F = k·x. Como se trata de un triángulo bastará con aplicar la fórmula de resolución del área de cualquier triángulo.
Ejemplo 2:
Calcula el trabajo realizado al elevar una carga sobre una rampa a velocidad constante.
Descompongamos la fuerza de la gravedad que actúa sobre él en dos componentes que hay que vencer, una paralela y otra normal al plano. Para el cálculo del trabajo, sólo hemos de tener en cuenta la primera, pues la segunda corresponde al trabajo de fricción que supondremos despreciable.
En este caso el trabajo para llevar el cuerpo desde A hasta B vale:
W=m·g·d·senα
Como “d·senα”, es igual a “h”, quedará:
W=m·g·h

Que es el mismo valor que se precisa para elevarlo verticalmente. Es decir, el trabajo en contra de la gravedad es independiente del camino recorrido; sólo depende del incremento de la altura.
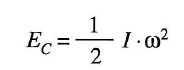
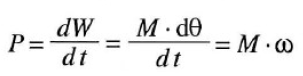
Trabajo de rotación
Para calcular el valor del trabajo realizado en este caso, hay que considerar la fuerza “F” que se aplica y el radio de giro “r” en torno al eje.

Al realizar un movimiento de giro, el vector desplazamiento “L” variará constantemente. Además existe la dificultad de aplicar un vector fuerza constante. Por estas razones, utilizaremos un nuevo concepto: momento de una fuerza.
El momento de una fuerza con respecto a un punto A es el producto vectorial del vector distancia del punto “A” y el vector fuerza “F”.

Si el momento de fuerza permanece constante y los vectores “r” y “F” son perpendiculares, el trabajo realizado valdrá:

La unidad del momento es el Newton por metro (N · m).
Ejemplo:
En un cilindro de 30 cm de diámetro, al que se le aplica una fuerza tangencial constante de 2 N que le obliga a girar sobre su eje principal, ¿qué trabajo habrá realizado cuando el cilindro haya realizado 5 vueltas completas alrededor de su eje?
Solución:
M = F · r = 2 · 0,15 = 0,3 N m
θ = 5 vueltas = 10 π rad.
W = M· θ = 0,3 · 10 π = 3 J
Trabajo eléctrico
Cuando una carga eléctrica “Q” se mueve entre dos puntos del espacio con potenciales diferentes, VA y VB, el trabajo realizado viene definido por:
W = Q · (VA-VB)
Como:
I = Q / t ; Q = I · t
tenemos que:
W = Q · (VA-VB) = I · t · (VA-VB) y aplicando la ley de Ohm: I = V / R = (VA-VB ) / R nos queda:
W = I2 · t · R o también: W = [(VA-VB)2 · t] / R
Ejemplo
Se tiene una resistencia de 100 W conectada a los extremos de una batería eléctrica de 10 V durante 12 horas. ¿Qué trabajo habrá realizado?

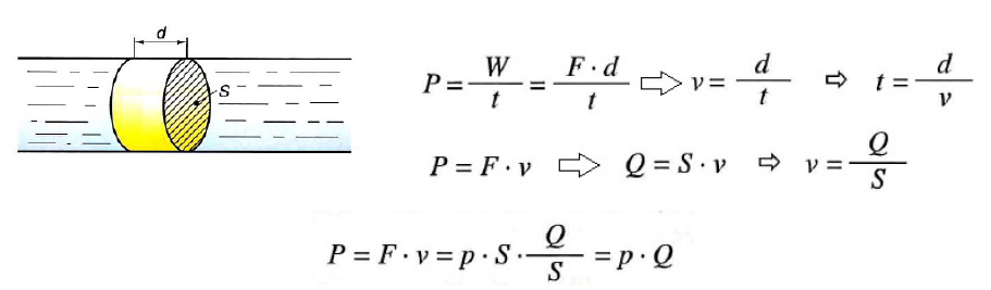
Trabajo de expansión y compresión de un gas
Supongamos un émbolo dentro de un cilindro formando una cámara cerrada, como por ejemplo ocurre con el pistón de un automóvil o con un cilindro neumático, de tal forma que el gas contenido en la cámara ejercerá una presión sobre el émbolo y las paredes del cilindro.
Esta presión ejercerá una fuerza que desplazará al émbolo a lo largo del recorrido de su carrera, realizando de esta forma un trabajo.

Supongamos que la presión permanece constante independientemente del desplazamiento del émbolo. En estas condiciones:
W = F · x
Donde “x” representa el desplazamiento del émbolo y “F” la fuerza ejercida por la presión contra la superficie del émbolo en contacto con el gas.
La fuerza ejercida contra el cilindro es función de la presión y de la superficie. Así, tenemos:
F = p · S
Sustituyendo nos queda:
W = p · S · x
Como “S · x” es el aumento de volumen de la cámara cerrada, el trabajo puede expresarse como:

Hemos visto que el trabajo es una función de la presión y del volumen. Si representamos en una gráfica la función presión-volumen, obtendremos el trabajo como el área de la superficie limitada superiormente por dicha función
Si la presión no es constante recurriremos al cálculo de incrementos para calcular dicho trabajo, quedando como expresión general:
